Governments around the world have increasingly been using economic stagnation as an excuse for climate inaction. But a letter published today in Nature Climate Change by Dr Chris Hope, Reader in Policy Modelling, Cambridge Judge Business School and Mat Hope, School of Sociology, Politics, and International Studies, University of Bristol, suggests this neglect is unwise.
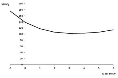
The research estimates the mean damage caused by emitting an additional tonne of carbon dioxide today is $107 per tonne if economic growth in the rich world is around 2% per year. But if rich economies continue to stagnate the mean damage rises to $138 per tonne.
So governments should feel more compelled – not less – to implement climate policies if their economies are slow to come out of recession.
The main reason for the greater damage in a low growth world is that people will have less money than expected when the worst impacts of climate change hit, and so each dollar of damage will be felt more keenly. The global average GDP per person if rich economies don’t grow is only $27,000 in 2100, about $10,000 less than current GDP per capita in the UK.
But rapid economic growth also increases the damage from emitting carbon dioxide, as shown in the figure below. This is because the worst effects of climate change are much more likely to occur due to the far greater emissions and temperature change associated with economic growth of over 3% per year.
The results suggest that, even allowing for the effect of the UK’s new carbon floor price, the current European carbon price is nearly $100 per tonne too low.

Figure: The mean damage from emitting one more tonne of carbon dioxide, by GDP growth in the rich world.

